Kompetenciamérés
Ismerjük meg gyermekünk egyéni eredményét!

Tavaly májusban minden hatodikos, nyolcadikos és tizedikes diák részt vett az Országos kompetenciamérésen, ahol egy matematika és egy szövegértés tesztet töltöttek ki. Az idén először ezeket nemcsak iskolánként értékelték, hanem elkészítették a gyerekek egyéni eredményeiről szóló jelentést is, amivel szülőként mi is megismerkedhetünk. Nézzük, mit árul el nekünk ez a jelentés!
Mint arról korábban már beszámoltunk, a 2008-as Országos kompetenciamérés tanulói szintű eredményei, a gyermek egyéni azonosítójának ismeretében, elérhetőek az interneten. Így tehát, miután előkerestük (vagy az iskolától újra elkértük) a tavalyi mérés során kapott azonosítót, mi is megismerkedhetünk a gyermek eredményeivel. Nem mindegy azonban, hogyan értelmezzük a jelentésben szereplő ábrákat és adatokat. Ebben segít az itt következő összeállítás.
Az alábbiakban egy hatodikos diák egyéni jelentését tekintjük át, természetesen név nélkül. A saját gyermekünk oldalán pontosan ugyanilyen rendszerben találjuk majd az adatokat.
A mérési azonosító megadása után elsőként gyermekünk matematika eredményeit láthatjuk.

A képernyőn látjuk, hogy az elért 510 pontos eredmény szerint a tanuló a képesség-skála második szintjén helyezkedik el. Összesen 4 szint van (érték szerint emelkedő sorrendben), valamint egy ún. 1-es alatti szint, ami a képességek teljes hiányára utal. Az egyes szint nagyon elemi képességeket takar, a kettes átlagosakat, a hármas jókat, a négyes képesség-szint pedig kiemelkedő eredményeket jelent. A mi diákunk a feladatok felét tudta megoldani, ezzel átlagosnak mondható eredményt ért el.
Külön-külön megnézhetjük azt is, hogy mely feladatokat tudta jól megoldani és melyeket nem. Ha ez egyes feladatok azonosító számára rákattintunk, megtekinthetjük a feladat szövegét, a megoldását, valamint azt is, hogy azt a feladatot a tesztet megíró gyerekeknek mekkora hányada tudta jól megoldani. Ha azt érzékeljük, hogy gyermekünk hasonló jellegű feladatokat rendre elrontott, ráadásul ezeket a többiek nagy része helyesen oldotta meg (azaz nem voltak túl nehezek ezek a feladatok), akkor gyanakodhatunk arra, hogy valamilyen ismeret vagy készség hiánya áll a jelenség mögött. Valószínűleg a matektanár is erre a véleményre jut, vele megbeszélve lehet a hiányosságokat mielőbb pótolni.
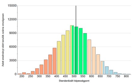
Gyermekünk matematika teszten elért eredményéről a jelentés további részében még három ábrát is találunk. Az első ábra azt mutatja meg, hogy az ő teljesítménye milyen volt az ország többi hatodikosához képest. A fekete függőleges vonal az ő eredménye.

Ez az ábra teljesen átlagos tanulói eredményt mutat, 500 és 525 pont között még legalább másik tízezer tanuló is van.
A következő ábra viszont azt mutatja nekünk, hogy abban az iskolában, ahol gyermekünk tanul, ő az átlagosnál talán valamivel jobb eredményt ért el. Tizenhárman ugyan jobb tesztet írtak nála (az ábrán tőle jobbra helyezkednek el), 45-en azonban gyengébbet.

Az utolsó ábrán pedig azt láthatjuk, hogy saját osztálytársaihoz viszonyítva milyen is ez az eredmény. Az átlagnál valamivel jobb teljesítménynek ítélhetjük ebben az esetben is a fekete függőleges vonalon elhelyezkedő tanulót, hiszen nála jobbak 4-en, míg gyengébbek 12-en vannak.

A matematikával teljesen megegyező formában találkozhatunk az olvasás-szövegértés eredményekkel is.

Gyermekünk itt a maga 534 pontjával a képességi szintek közül a harmadikba tartozik, ami azt jelenti, hogy szövegértési képessége jobb szintű, mint a matematikai eszköztudása. Ugyanakkor az ábra alapján az is jól látszik, hogy szövegértésből ezzel az eredménnyel ugyanúgy az országos középmezőnyben van, mint matematikából. A legtöbb hatodikos 525 és 550 közötti standard pontot ért el.
Saját iskolájában a gyermek kifejezetten a jobb eredményt elért hatodikos diákok közé tartozik:

Nagyon fontos tisztában lenni azzal, hogy ezek az eredmények elsősorban az iskolai tanárok munkájához szolgálnak hasznos információval. Nem akkor teszünk jót gyermekünknek, ha esetlegesen gyengébb mérési eredményeit megismerve magunk korrepetáljuk vagy különórára járatjuk, hanem ha az osztályfőnökével, a magyar- és matematika tanárral közösen megbeszélve alakítunk ki javulási utat, lehetőséget számára.































